-
n-(2-氰乙基)-n-(2-羥乙基)胺
結構式 物競編號 024z 分子式 c11h14n2o 分子量 190.24 標簽 n-(2-氰乙基)-n-羥乙基胺, 3-[(2-羥乙基)氨基]丙腈, n-(2-氰乙基)-n-(2-羥乙基)胺, ... -
莨菪亭
結構式 物競編號 024y 分子式 c10h8o4 分子量 192.17 標簽 7-羥基-6-甲氧基香豆素, 7-羥基-6-甲氧基-1,2-并吡喃酮, 東莨菪內酯, ... -
n-乙基-n-基芐胺
結構式 物競編號 024x 分子式 c15h17n 分子量 211.3 標簽 n-乙基-n-芐基胺, 芐乙基胺, n-乙基-n-芐基胺, 甲基乙基胺, ... -
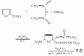
5-硝基-2-糠醛二酯
結構式 物競編號 024w 分子式 c9h9no7 分子量 243.17 標簽 5-硝基呋喃亞甲基二乙酯, 2-(乙酰基甲基)-5-硝基呋喃, 5-硝基糠醛二乙酰乙縮醛, ...





